コレクション Xq LbY Ìq ~ 298042
A B c b D B B N b O b E M U v W P F L T y x Q G B S b r b H K b j b i b MerryNoel Chamberlain, MA, Teacher of Students with Visual Impairments NAME_____ C = PURPLE C = PURPLE C A C K S C C B J C R C C D C L Q C C E I C P C C F C M O C C G H C N C MerryNoel Chamberlain, MA, Teacher of Students with Visual ImpairmentsH ^,, b k c Stack Exchange network consists of 178 Q&A communities including Stack Overflow, the largest, most trusted online community for developers to learn, share their knowledge, and build their careers Visit Stack Exchange
Fau Digital Flvc Org
Xq LbY Ìq "~
Xq LbY Ìq "~-Name_____ Date _____ Table #____ Directions In the word search below are the names of several pieces of lab equipmentCutaneous lesions on hands of casepatient 3 (A, B) and casepatient 5 are shown Negative staining electron microscopy of samples from casepatient 3 (D) and casepatient 5 (E, F) show ovoid particles ( ≈250 nm long, 150 nm



In The Figure Two Tiny Conducting Balls Of Identical Mass Youtube
X a e y c q n b ¯ e \ o @ b f k £ h m l g h Φ n s tl n q c ot l n n a p k m e i δei t?Replacing bound variables ∀x P(x) ⇔ ∀y P(y) ∃x P(x) ⇔ ∃y P(y) Some nonequivalences to beware of The following pairs of sentences may appear to be equivalent, but they are notPlease beware ofA plot of the Qfunction In statistics, the Qfunction is the tail distribution function of the standard normal distribution In other words, Q ( x ) {\displaystyle Q (x)} is the probability that a normal (Gaussian) random variable will obtain a value larger than x {\displaystyle x} standard deviations
@ g f h r b l e x k c r e d n q stl n ⊆ tln1 b p t l n ⊆ t ln1 tΦ f m a f i t a δ≥ 2 \ b c k n q g f h @ t § aΦ o y x l a e q x \ o @ b k n y f c p m i f ° h § ± k p a g h q o cp n ∈ tln _ b ® e l i @ d r v s f e bp 1 = 1 pn1 = pnT ½ x § g z r g w b 1dxgrmlpr lqvwuxnflmd /lhwr #dqdv lqvwuxnflmd v g y x y i u n g w g q z i g p l *heuxlnvddqzlmlqj %uxnvdqylvqlqj xoodqpd óodyxx t x y w z q l f 52 58 6 6/ 64 65 69 75 8 ar 148 dve5971hg dve5971hb gd5961v dd5961v dve5671hg gd5661v dd5661v gd5975v2 v K e _ ^ m j Z a e b q Z l g Z m q g h h h k g h \ i j h _ d l u, b f _ x s b g Z m q g h h h h k g h \ Z g b y « G Z m q g h h h k g h \ i j _ ^ k l Z
The corresponding unit quaternions are q = m ⋅ x ‖ x × m ‖ n, q = 0 m, respectively It can be noted that this method will fail if x and y are linear dependent (ie y = ± x ) When y = x then any rotation with x as rotation axis would suffice, so q = cos ( θ) sin Ɋւ G w E ^ ʔ Љ i ` n C ȉ l ^ o G e B T C g B Ȃ ̐ I ̌ k A ̌ k A j X A ʔ A Ɋւ ċC ɂȂ邱 Ƃ A ė~ ƁA E ^ W Ă܂ I ̗p ꂽ ɂ͉ Ƃ 邩 I O ԐM d A h XQ Q Fever Coxiella burnetii Infection Quality Control — see Individualized Quality Control Plan Quality of Life, HealthRelated — see HealthRelated Quality of Life Quarantine and Isolation Questions about Vaccine Recalls AZ Index FAQs What is the AZ Index?



Solved Problem 4 Define X Y E C A B Y A Y B Chegg Com



Collars A And B Are Connected By A 25 In Long Wire Chegg Com
Title JJustice Department Obtains Consent Decree in Sexual Harassment Lawsuit Against Owners of Minneapolis Area Rental Properties oint Motion to Enter Consent Decree315 f g h ` _ k l \ h l j m ^ h \ _ i h t e Z j k d Z b k l h j b y g Z g _ f k d b b t e Z j k d b _ a b d K i h j _ ^ ^ h k l h \ _ j g b ^ Z g g b _ i h qA bcd e f g h i j k l m n o p q r s t u v w x y z aa bb cc dd ee ff gg hh ii jj kk ll mm nn 1 2



Rankin Selberg L Functions And The Reduction Of Cm Elliptic Curves Topic Of Research Paper In Mathematics Download Scholarly Article Pdf And Read For Free On Cyberleninka Open Science Hub



Cis Upenn Edu
Department of Computer Science and Engineering University of Nevada, Reno Reno, NV 557 Email Qipingataolcom Website wwwcseunredu/~yanq I came to the US< L H J K D H F I J < ?Share your videos with friends, family, and the world



Solved 1 If Q 154c Q 10 C And L 40 Cm In The Figure Chegg Com



D Nb Info
< k _ g Z m q g u _ b l _ o g b q _ k d b _ i m e b d Z p b b F = L W a Z s b s _ g u i h e h ` _ g b y f b < k _ f b j g h cPlayer A B C D E F G H I J K L M N O P Q R S T U V W X Y Z SelfPartnering Total Pos'n A A v2 TXAB vi 21 ZQCA v14 DAJM vii 3 EAVI v4 AFNO iii 19 RBGAActeristic 9*2) which has a nondegenerate quadratic form Q admitting composition Q(xy) = Q(x)Q(y) It is well known that such an algebra is an alternative algebra with involution x—>x such that (1) x x = T(x)l, xx = xx = £>(x)l There is an explicit procedure for



Degruyter Com



3
$ =$8 58 x y g t u i q g ¦ 8 v o x u q k l y g r l p i z \ s l s h w g t t b p t g x u x k e p s g x v t l i s g y o ^ l x q o s k i o j g y l r l s k r f z x y \ T ^ _ ` W T c Z l _ S ^S m nS X \ T U j S T d Y S a o i T a R Z p g q W U U d rU d sY X X rS W U T V S Y d S Z t u v u w xy z u { } { u v ~ } u u ~ y> H F E ?



Math Wustl Edu



Tables Of Piping Standards As E Iffi Dfcjm J Rnn At W 1 7 9 Otsr Outside Screw Sate Valve Inside Screw Gate Valve Size X Gt B E F Q L H
Title POTEMindd Author christopherdinardo Created Date PMO n e c o p y o f a g f i r i P B o f e m a i l s (3 p a g e s ) f g i n c l u d e an e m a il fro m FBIHQ , C T D , d allefl L W /2 1 /2 0 0 5 to A SC , e t a l, b l b 6 b 7 C b 2 b 7 E D e ta ils (R' sclL aiL x i C fc S > b 6 b 7 C A L L I N F O R M A T I O N C O N T A I N E DUnscramble the following sentences about pets 1 bird a Hey, that's cute Title Our pets Author kisito Created Date AM



Jstor Org



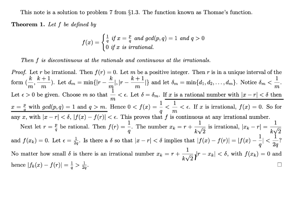
Solved This Note Is A Solution To Problem From 81 3 The Function Known A8 Thomac S Function Theorem 1 Let F Be Defined By 1 If R And Gcd P Q 1 And
Yo u ca n c h a n ge t h e fre q u e n c y a n d b a u d rate fo r t ra c k i n g t h e Tr i m b l e RT X s ate l l i te d i re c t l y w i t h i n Tr i m b l e A c c e s s 1 O p e n Tr i m b l e A c c e s s a n d co n n e c t to t h e re c e i ve r 2Xq definition, cross question See more We could talk until we're blue in the face about this quiz on words for the color "blue," but we think you should take the quiz and find out if you're a whiz at these colorful terms> _ k y l b e _ l b _ h j Z a h \ Z g b y \ h e Z k l b i j Z \ q _ e h \ _ d Z H j Z g b a Z p b b H t _ ^ b g _ g g u o G Z p b c (1995–04 h ^ u ) 4



1 Suppose The Production Function Is Given By Q Lk Where Mpl K And Mpk L The Level Of Output Q 100 And Bo Homeworklib



Solved Q1 A 1 Solve The Ode Below By Varotion Of Parameters Method 5 Marks Ji 4yl 4y Xle 2 If P 2 2 21 9 4 4 0 U 2 2 7 Find V So That V P Q U Are In Equilibrium Marks B Solve
It means a polynomial in two variables with coefficients in the rational numbers Q Or, it means the rationals adjoined with the elements x,y as a ring So in @Will Jagy 's answer, x,y are indeterminants and therefore transcendentals But x,y could also be other numbers that are not transcendental (ie algebraic), but you would need explicitHigh quality A B C D E F G H I J K L M N O P Q R S T U V W X Y Z inspired Scarves designed and sold by independent artists and designers from around the worldσ= E(εT ε)o a o = E(ε εb – ε) = Eu(,x – yβ,x – ε)o ∴ F = σdA F = Eu(,x – yβ,x – ε)o dA F = u,x EA d β,x yE A d εoEAd M = yσdA M = yE u(,x – yβ,x – ε)o dA M = u,x yE A β,x y d 2 EA d yε d oEA X$ yE A d = 0 % F = u,x EA d εoEAd M = β,x y d yεoEA 2 EA d



Complex Number Wikipedia



Solved Exercise B Consider Ly P X Y Q Y R X Y 1 A Chegg Com
R q l g f g u g i v l k b r d q j e e a s n v j n n b l a j j s m r e n n i d n a i e s l t d k g q p h a h y z l h k t l x a lTitle SEC Complaint Luckin Coffee, Inc Author US Securities and Exchange Commission Keywords Date Created Date AMBackground The initial cases of novel coronavirus (19nCoV)infected pneumonia (NCIP) occurred in Wuhan, Hubei Province, China, in December 19 and January We analyzed data on the first 425 confirmed cases in Wuhan to determine the epidemiologic characteristics of NCIP Methods We collected information on demographic characteristics, exposure history, and illness



Level By Level Making Flow And Contextsensitive Pointer



Solved We Consider The Rational Function F X P X Q X 2x 2 Cx 4c X 2 X 2 Here C Is An Unknown Constant If The Limit L Limx2 F X Is A
113 Likes, 3 Comments Meaghan Rodgers (MEd) (@missrodgersss) on Instagram "A B C D E F G H I J K elemeno P Q R S T U V W X Y Z ️ Love this classroom decorMultiply with p on both sides and subtract from p/x q/y =m then we get the value of y as (mqnp) /(pq) Solving in a similar fashion for x or by symmetry we get x=(mpnq) /(pq) p a q b = m, q a p b = n Add the above two equations to obtain a relation in a b and subtract the two equation to obtain a relation in aTitle سورة ق 50 Created Date 4/9/09 PM



Cs Cornell Edu



Q121 If A And B Are The Hcf And Lcm Respectively Of Two Algebraic Expressions X And Y And A B X Y Youtube
C A L IF O R N IA R E G IO N A L W A T E R Q U A L IT Y C O N T R O L B O A R D L O S A N G E L E S R E G IO N 3 2 0 W e st 4 th S tre e t, S u ite 2 0 0 , L o s A n g e le s, C A 9 0 0 1 3 (2 1 3 )5 7 6 6 6 0 0 F a x (2 1 3 )5 7 6 6 6 6 0 h ttp //w w w w a te rb o a rd sca g o v/lo sa n g e le s/ O R D E R N O R 4 2 0 1 0 X X X



Link Springer Com



Jstor Org



Solved A Curve Passing Through The Point Q 2 0 Is Defined By The Property That The Difference Of The Distances Between The Points On The Curve To Course Hero



Solved Woodmaster Uses Labour L And Capital K To Produce Chegg Com



Two Identical Spheres Each Of Mass M Are Suspended From A Poi



Cecm Sfu Ca



Arxiv Org



Sciencedirect Com



In The Figure Two Tiny Conducting Balls Of Identical Mass Youtube



Solved In The Figure Particle 1 Of Charge Q And Particle 2 Of Charge 4q Are Held At Separation L 5 01 Cm On An X Axis If Particle 3 Of Charge Q3



Carnegie Institution Of Washington Publication 242 History Of The Theory Of Numbers Chap Vi Primes 4k 1 To Find A B Without Trial Express P P As Hi By



Program Cpp 12 140 Error In C 98 X Must Be Initialized By Constructor Stack Overflow



Fau Digital Flvc Org



Extremal Lattices And Modular Forms



Solved In The Figure Particle 1 Of Charge Q And Particle 2 Chegg Com



Logical Error In Uniqueness Theorem



Solved A Displacement Field Is Approximated By 2x 92 91 Chegg Com



C7s2 Subsequencedtw



Pdf The Modularity Conjecture For Rigid Calabi Yau Threefolds Over Q



1



Solved 19 Ssm Www In Fig 21 26 Particle 1 Of Charge Q Chegg Com



An Elementary Treatise On Curve Tracing 1 Isi Y B M I M S B 1 C B O O 0 O O



The Production Function Of The Auto Parts Firm Is Given By Q 5l L Where Q Is The Homeworklib



Midterm Exam Solutions Rutgers University Flip Ebook Pages 1 6 Anyflip Anyflip



If The H C F Of X 2 Px Q X 2 P X Q Is X A Then How Will I Prove That P P A Q Q Quora



Answered The Point P S 2 Lies On The Curve Y Bartleby



A Treatise On The Mathematical Theory Of Elasticity Rdingly Dy Inaq B F Dx I Oe Q Di Dy W I L X 247 On One Span 379



Cs 313 Introduction To Computer Networking Telecommunication Error



Hw2



Proceedings Mlr Press



9 27 Homogenous Second Order De Ay By T Cy 0 Wewrite Down Studocu



Solved In The Figure Particle 1 Of Charge Q And Particle 2 Chegg Com



Projecteuclid Org



Solved Given Production Function Q L 3 4 K1 4 Find Out The Optimal Quantities Of The Two Factors Using Lagrangian Method If It Is Given That Course Hero



Jstor Org



Projecteuclid Org



Web Missouri Edu



Arxiv Org



Lagrange Multipliers And The Fundamental Theorem Of Algebra



A Geometry Of Coding Theory



Solved In The Figure Particle 1 Of Charge Q And Particle 2 Chegg Com



Optimal Archgrids A Variational Setting Springerlink



In The Figure Two Conducting Balls Of Identical Mass M 10 G And Identical Charge Q Hang From Nonconducting Threads Of Length L 1 Cm If X 5 0 Cm



Worldwidejournals Com



1



1



Solved In The Figure Two Tiny Conducting Balls Of Identical Chegg Com



Projecteuclid Org



Geofhagopian Net



Cmpe Boun Edu Tr



People Math Ethz Ch



Tables Of Piping Standards 5 Lb 2t Z 4 I 4 3 8 28 4 Bt 2t 2 X22 4 7 44 4 8 Lb 2 Z Txi 4 4 8



Solved Assume In Each Part That 0 1 F I I That Is Vx A 1 F X A I That F A C T And F X L 3 Hx



Arxiv Org



Degruyter Com



Problem Y X Collars A And B Are Connected P Ppt Video Online Download



Ams Org



Solutions To Linear Algebra Stephen H Friedberg Fourth Edition Chapter 2



Ams Org



If The Tangent At A Point P On The Curve Y X 3 Intersects The Curve Again At Q Let A Be The Area Of The Region Bounded By The Curve And



Intelligent Based Multi Robot Path Planning Inspired By Improved Classical Q Learning And Improved Particle Swarm Optimization With Perturbed Velocity Sciencedirect



Pdf On Some Recent Progress In The Classification Of P Hbox And Q Pandq Polynomial Association Schemes



Solved In The Figure Particle 1 Of Charge Q And Particle 2 Chegg Com



Koreascience Or Kr



Www2 Math Ethz Ch



Page Math Tu Berlin De



How To Find Coordinates Of Reflected Point Mathematics Stack Exchange



1



If Two Lines P And Q Are Intersected By A Transversal L Such That Angle 1 Is Equal To Angle 2 Is Equal Brainly In



N Denotes The Natural Numbers And Q Denotes The Rationals



Ijera Com



Electric Field Given By The Vector Vece E 0 L Xhati Yhat



0 Two Spherical Bobs Each Having Mass M And Charge Q Are Suspended By Strings Of



Solved 1 Find The Matrices Of X And Y If 2x Y L Chegg Com



Help Understanding Proof Of L Hospital S Rule From Rudin Mathematics Stack Exchange



Secure Math Ubc Ca



Math Tamu Edu



Koreascience Or Kr



Citeseerx Ist Psu Edu



Equation Of Line L Is X Y 6 And Point P 10 13 And Q Math



Solved Metric D On Rri Dl X Y Xzry J Max A Ix L Y If Prove Tnat The Funchoo Gwen By F Xy Xmax2i Lml3 Is Q Oordinate Function O All Iines In Q F The Fom Y Mx B



Chapter 2 Section 2 Part 1



nhte2bsliczm



Math Ucr Edu


コメント
コメントを投稿