選択した画像 ~bNX 1 Ô Â¤¢ ¢ 342159
Next, let i be continuous Let O be an open set in τ Then since i is continuous, i−1(O) is open in (X,τ0) Since i−1(O) = O, τ0 is finer than τ Proof B) Assume τ = τ0 Then τ0 is finer than τ By part A, i is continuous Since τ is also finer than τ0, i−1 is also continuous It is clear that i is both onetoone and ontoB n = O(log n) For a>1, this yields f (n)=ak f (1) c ak − 1 a − 1 = O(nlog b a) If n is not a power of b, then estimate with the next power of b to get the claimed bounds Title recurrence3key Author Andreas Klappenecker Created DateThe Euclidean algorithm to compute gcd ( a, b) can be described as follows If a < b swap a ↔ b and restart If b = 0 terminate with a as result Set a ← a − b and restart If a > b note that X a − 1 = ( X b − 1) X a − b ( X a − b − 1), hence every step of the
Johnhcochrane Com
~bNX 1 "Ô Â¤¢ ¢
~bNX 1 "Ô Â¤¢ ¢-52 Uniform convergence 59 Example 57 Define fn R → R by fn(x) = 1 x n)n Then by the limit formula for the exponential, which we do not prove here, fn → ex pointwise on R 52656 Chapter 11 Power Series Methods Types of Singular Points A differential equation having a singular point at 0 ordinarily will not have Power series solutions of the form (x) c,x so the straightforward method of Sec tion 11 2 fails in this case To investigate the form that a solution of such an equation



Johnhcochrane Com
Solution Consider the sequence x n= a 1=n For large enough n, a n2(a;b) Since fa ng is Cauchy, and since f is uniformly continuous, by part(a), ff(a n)gis Cauchy, and hence converges Let A= lim n!1 f(a n) Similarly, consider b n= b 1=nand de ne B= lim n!1 f(b n);Mathematically If a x = b (w h e r e a > 0, ≠ 1), {{a}^{x}}=b\left( where\,\,a>0,\ne 1 \right), a x = b (w h e r e a > 0, = 1), then x is called the logarithm of b to the base a and we write log a b = x, clearly b > 0 Thus log a b = x ⇔ a x = b, a > 0, a ≠ 1 {{\log }_{a}}b=x\Leftrightarrow {{a}^{x}}=b,a>0,a\ne 1 lo g a b = x ⇔ a x(b) If A ⊂ X, a retraction of X onto A is a continuous map r X → A such that r(a) = a for each a ∈ A Show that a retraction is a quotient map 6 CLAY SHONKWILER
A∩(BA) = {x x belongs to A and x belongs to B and x does not belong to A} No element can belong to A and not belong to A at the same time Hence A∩(BA) =∅ Using Membership Tables AB(BA) A∩(BA) 11 0 0 10 0 0 01 1 0 00 0 0 ∴A∩(BA) =∅ e) A∪(BA) = A∪B =(A∪B)∩(U) =(A∪B) where we used the Distributive Law andAre mutually disjoint Since S is a {system, each complement Ac i is in S, and since S is a ˇ{system it follows then that Bn, which is a niteX1 n=1 (E n)
O(1) constant O(log(n)) logarithmic O((log(n))c) polylogarithmic O(n) linear O(n2) quadratic O(nc) polynomial O(cn) exponential Note that O(nc) and O(cn) are very different The latter grows much, much faster, no matter how big the constant c is A function that grows faster than any power of n is1 n i=1 Var(X i)Var(X¯) = 1 n n2 1 n 2 = n1 n 2 6= 2 The last line uses (142) This shows that S 2is a biased estimator for Using the definition in (141), we can see that it is biased downwards b(2)= n1 n 2 2 = 1 n 2 Note that the bias is equal to Var(X¯) In addition, because Does anyone know the exact proof of this limit result?



2



Strange Output To Txt File Stack Overflow
By associativity, this means that (g g)x 1 = (g 1g)x 2 This simpli es to ex 1 = ex 2, where eis the identity Finally, by the property of the identity, we get that x 1 = x 2 But this contradicts the assumption that x 1 6= x 2 So we have shown that if x 1 6= x 2 then gx 1 6= gx 1 Thus all the elements of the form gxare distinct SimilarlyX= b Clearly Fis an1 9 2 0 ) o r I n d e x (1 8 7 5 1 9 7 2 ) f o r B a l t i mo re C i t y, Ma ryl a n d The instructions on this page are primarily meant for those who are visiting the Archives and are using our Search Room computers If you are offsite you can view indexes, as described in Steps 13, but the actual records themselves can only be viewed at



In The Figure Abcde Is A Circle With Centre O If X 108 O Find I D Ii ŷ Iii B Iv A V B D Vi B E



Please And Thank You 1 Solve V2u 0 Over 0sx L And 0sysh Subject To 1 10 Homeworklib
Description x = A\B solves the system of linear equations A*x = B The matrices A and B must have the same number of rows MATLAB ® displays a warning message if A is badly scaled or nearly singular, but performs the calculation regardless If A is a square n by n matrix and B is a matrix with n rows, then x = A\B is a solution to theThe CDC AZ Index is a navigational and informational tool that makes the CDCgov website easier to use It helps you quickly find and retrieve specific informationX= n i=1 O i = n i=1 (C i) = \n i=1 C i This means that \n i=1 C i must be empty, contradicting the fact that F has the nite intersection property Thus, if F has the nite intersection property, then the intersection of all members of F must be nonempty The opposite implication is



2



Wip Gatech Edu
(10) Z x a2 x2 dx= 1 2 lnja2 x2j (11) Z x2 a 2 x dx= x atan 1 x a (12) Z x3 a 2 x dx= 1 2 x2 1 2 a2 lnja2 x2j (13) Z 1 ax2 bx c dx= 2 p 4ac b2 tan 1 2ax b p 4ac b2 (14) Z 1 (x a)(x b) dx= 1 b a ln a x b x; X O X O X X X O X X X X X X X X X X O X X X X X X X X O X O O O X O O O Time Complexity of the above solution is O(MN) Note that every element of matrix is processed at most three times This article is contributed by Anmol Please write comments if you find anything incorrect, or you want to share more information about the topic discussedAnswer (1 of 6) B\gt \dfrac{1}{n}\displaystyle\sum_{i = 1}^{n} x_i \implies B\gt \dfrac{1}{n} (x_1 x_2 x_3 \cdots x_n)



Bulletin Agriculture New Hampshire July 1933 Inspection Of Feeding Stuffs A O A O O A C8 U A Quot 3 A O V A Quot 3 C3 O A M



Exposure To Fractionated X Rays Induced H 2 O 2 Resistance In Cancer Download Scientific Diagram
But bn is not O nd (931)The exponential function is a mathematical function denoted by () = or (where the argument x is written as an exponent)It can be defined in several equivalent waysIts ubiquitous occurrence in pure and applied mathematics has led mathematician W Rudin to opine that the exponential function is "the most important function in mathematics" Its value at 1, = (), is a mathematical415 Let a,b ∈ R Show that if a ≤ b 1 n for all n ∈ N, then a ≤ b Let us argue by reductio ad absurdum Suppose that a > b Then a − b > 0, and therefore, by the Archimedian property of R, there exists n ∈ N such that a − b > 1 n For this n, we have a > b 1 n, which contradicts the hypotheses HOMEWORK 3 87



Bulletin 1901 13 Agriculture Agriculture Ata Loo Ik Ha A 5 2i Z H N A C 2 5 C Ij S0 O A A Y B A C T3 O Ss S A A



F0nuipjmxbp3vm
And X n = O p(n−r) if and only if nrX n = O p(1) Proposition 1 if X n and Y n are random variables defined in the same probability space and a n > 0, b n > 0, then (i) If X n = o p(a n) and Y n = o p(b n), we have X nY n = o p(a nb n) X n Y n = o p(max(a n,b n)) X nr = o p(ar n) for r > 0 (iiEx ˇp n(x) = 1 x x2 2!Filed by Southern Financial Bancorp, Inc Pursuant to Rule 425 under the Securities Act of 1933 Subject Company Essex Bancorp, Inc Commission File No



2



Hep Fsu Edu
5 taylor approximation Evaluate e2 Using 0th order Taylor series ex ˇ1 does not give a good fit Using 1st order Taylor series ex ˇ1 x gives a better fit Using 2nd order Taylor series ex ˇ1 x x2=2 gives a aProblem 4 (868) X 1,,X n iid with probability mass function function p(xλ) = 1 x!= are both consistent estimators of oz nk b) Suppose that for the model in part (a)



Arxiv Org



Info Phys Unm Edu
Definition 217 If A is m×n and B is n×pLetr i(A) denote the vector with entries given by the ith row of A,andletc j(B) denote the vector with entries given by the jth row of B The product C = AB is the m×p matrix defined by c ij = r i(A),c j(B)X where r i(A) is the vector in R n consisting of the ith row of A and similarly c j(B) isFour solutions to an inequality, all by CalculusA6=b (15) Z x (x a)2 dx= a a x



Phep Noi Suy



Pdf Verification Of An Optimized Ntt Algorithm Semantic Scholar
(a b) n = a n (n C 1)a n1 b (n C 2)a n2 b 2 (n C n1)ab n1 b n Example Expand (4 2x) 6 in ascending powers of x up to the term in x 3 This means use the Binomial theorem to expand the terms in the brackets, but only go as high as x 3 So to find the answer we substitute 4 for a in the Binomial theorem and 2x for bWhere B1 = A1 and, for n 1, Bn = An c(A1 c An 1) = An \ A1 \A c 2 \ \An (11) Thus Bn consists of all elements of An which do not appear in any \previous" Ai It is clear that the sets B1, B2;I n t r o d u c t i o n F i n a n ci a l F o r ce o ff e r s cu st o m e r ce n t r i c b u si n e ss a p p l i ca t i o n s o n t h e l e a d i n g cl o u d p l a



Solved If A Series Solution Is To Be Found For Y Xy Y Q Chegg Com



Solved Consider The Following Competing Hypotheses And Relevant Summary Statistics Ho O O 1 Ha O Oz 1 Sample X 1 41 2 25 9 And N1 Sample 2 A 2 45 7 7 6 And Nz
118 7 THE RIEMANN INTEGRAL Theorem (712) If f 2 Ra,b, then the value of the integral is uniquely determined Proof Assume L0 and L00 both satisfy the(∼G ⊃ ∼B) • (F ⊃ N) 1, Trans 5 (∼G ⊃ ∼B) • (∼N ⊃ ∼F) 4, Trans 6 ∼B ∨ ∼F 3, 5, CD 7 ∼(B • F) 6, DM (11) 4 (1 (J • R) ⊃ H 2 (R ⊃ H) ⊃ M 3 ∼(P ∨ ∼J) / M • ∼P 4 J ⊃ (R ⊃ H) 1, Exp 5 J ⊃ M 2, 4, HS 6 ∼P • ∼∼J 3, DM 7 ∼P • J 6, DN 8 ∼P 7, Simp 12 O 9 J • ∼P 7, ComX,b x),thenbyconstructionwehavex∈I xaswell asI x⊂O Hence O= x∈O I x Now suppose that two intervals I x andI y intersect Then their union (whichisalsoanopeninterval)iscontainedinOandcontainsxSince I xismaximal,wemusthave(I x∪I y)⊂I x,andsimilarly(I x∪I y)⊂I y ThiscanhappenonlyifI x=I y;therefore,anytwodistinctintervalsin



W Sd45rasmetcm



Johnhcochrane Com
λ xe−λ (a) To show that T = P n i=1 X i is sufficient for λ, we first note that T has a Poisson distribution with parameter nλ, so we have P (X 1 = x 1, X 2 = x 2,,X n = x nT = t) P (X 1 = x 1,X 2 = x 2,,X n = x n,T = t) P(T = t) = P X 1 = x 1,X 2 = x 2,,X n = t− P n−1 i=1 x i P(TFor positive values of a and b, the binomial theorem with n = 2 is the geometrically evident fact that a square of side a b can be cut into a square of side a, a square of side b, and two rectangles with sides a and bWith n = 3, the theorem states that a cube of side a b can be cut into a cube of side a, a cube of side b, three a × a × b rectangular boxes, and three a × b × bAnd de ne F(x) = 8 >< > A;



Applied Design Partners With Braille Institute To Design A Font For Those Who Are Visually Impaired



Solved Problern 1 Consider The Following Model Yi Chegg Com
N(1 x2)n(In fact, as fvanishes outside 0;1, the integration is in fact from xto 1 x) Q n is a polynomial and the normalizing constant c n is chosen so that 1 1 Q n= 1, in other words, c n is given by c 1 n = 1 1 (1 2x)ndx We will need an upper estimate for c n in a second, 1 1 (1 nx2) dx= 2 1 0 (1 x2)ndx 2 1= p n 0Let b = a 1 First check that b is an integer Then b is an integer because it is a sum of integers Then check that x= 2b − 2 Also 2b − 2 = 2(a 1) − 2 = 2a 2 − 2 = 2a = x, Thus, by definition of B, x is an element of B which is what was to be shown b Part 2, Proof That B ⊆ A Will work on this part in the class 2The variance of X/n is equal to the variance of X divided by n², or (np(1p))/n² = (p(1p))/n This formula indicates that as the size of the sample increases, the variance decreases In the example of rolling a sixsided die times, the probability p of rolling a six on any roll is 1/6, and the count X of sixes has a B(, 1/6



Arxiv Org



Breviora 1971 Jamaican Angles 53 0 N O Xi 0 A P A H O C O U Si Eh Tuuatouaxba Snutxbdo Xtcuis P Snujx Do Axtu9anc Tureqa J5 Tureiibab Pszts Axburag P Tureqbj5
F o u r x 6 0 0 , T h r e e x 1 0 0 0 & O n e 7 5 0 T o n V E S D A s m o k e d e t e c t i o n D a t a C e n t e r A r e a s P r e a c t i o n d r y p i p e PO W E R & C OOL IN G 2 4x7 o ns ite st affing 2 4x7 c lo s ed circui t m on i tori n g, with AI pr esence de te ctio n and 9 0 day st orage1 xn 2y xn 3y2 yn 1 Linear Functions and Formulas Examples of Linear Functions x y y= x linearfunction x y y= 1 constantfunction 2 Constant Function This graph is a horizontal line passing through the points (x;c) with slope m= 0 y= c or f(x) = c Slope (aka Rate of Change)I have a series of questions in which I need feedback and answers I will comment as to what I think, this is not a homework assignment but rather preparation for my exam My main problem is determining the iterations of a loop for different cases



The Book Of The Peony Peonies O 23 Js A 2g 3 Q B Ms A A 3 C S 3 0 C O B M Sj



Ssc Wisc Edu
Note If U is a universal set and A is a subset of U,thenn(Ac)=n(U)n(A) 1 Let the universal set U = {1,2,3,4,5,6,7,8,9,10} Find the following (a) n(U) (b) n(Ac), where A = {x xisanevennumberfrom1to10} (c) n(B), where B = {1,3,9} (d) n(?) Addition Rule for Sets Very Useful Formula If A and B are finite sets then n(AB)=n(A)n(B)n(A\B) 2We can similarly define order in probability X n = o p(n−r) if and only if nrX n = o p(1);Show that f(x) = x2 2x 1 is O(x2) When x > 1 we know that x ≤x2 and 1 ≤x2 then 0 ≤x2 2x 1 ≤x2 2x2 x2 = 4x2 so, let C = 4 and k = 1 as witnesses, ie, f(x) = x2 2x 1 < 4x2 when x > 1 Could try x > 2 Then we have 2x ≤x2 & 1 ≤x2 then 0 then 0 ≤x2 2x 1 ≤x2 x2 x2= 3x2 so, C = 3 and k = 2 are also witnesses to



Solved Suppose X1 Are Iid N 0 2 Where A 0 And Chegg Com



Cooperative Economic Insect Report Pictorial Keys Insect Pests Pictorial Works I 4 E A U P 0 Lt H A A X O P A O H A 0 0 A
But n is not (O(log b n) c) (930) This tells us that every positive power of the logarithm of n to the base b, where b > 1, is bigO of every positive power of n, but the reverse relationship never holds In Example 7, we also showed that n is O(2n) More generally, whenever d is positive and b > 1, we have nd is O(bn);Theorem 91 Let (X,C)be a topological space Then O⊂Xis an open set, that is, O∈C, if and only if for every x∈Othere exists a B∈Csuch that x∈B⊂O ProofIfO∈C,thenforeveryx∈O,thereexistsaB∈C(OwillplaytheroleofB)so thetheoremistriviallytrue Conversely,ifforeveryx∈OthereexistsaB∈Csuchthatx∈B⊂O,thenindicatingSearch the world's information, including webpages, images, videos and more Google has many special features to help you find exactly what you're looking for



Solved If F R R Is Given By F X 1 If X A Q 0 Ifxer Q Then F 1 2 O 0 A B R C R Q D 1 E 0



Fortiwifi 30e 5 X Ge Rj45 Ports Including 1 X Wan Port 4 X Switch Ports A Wireless 802 11a B G N No Longer Orderable In The European Union And Other Countries Following The Eu Regulation Or
Transcribed image text Question One = a) Consider the model y = XB E, Where y, X, B and ε are of order (n x 1),(n xk),(1 x k) and (n x 1), respectively, and E(e£') = oʻ1 All the other classical linear regression assumptions are fulfilled Prove that the OLS estimators s2 and ML estimator ô?Solve for x 1/x1/a=1/b 1 x 1 a = 1 b 1 x 1 a = 1 b Subtract 1 a 1 a from both sides of the equation 1 x = 1 b − 1 a 1 x = 1 b 1 a Find the LCD of the terms in the equation Tap for more steps Finding the LCD of a list of values is the same as finding the LCM of the denominators of those values x,b,a$$\lim_{n\to\infty} \left(1\frac{x}{n}\right)^n = e^x$$ Stack Exchange Network Stack Exchange network consists of 178 Q&A communities including Stack Overflow, the largest, most trusted online community for developers to learn, share their knowledge, and build their careers



Exeley Com



A And B The Schematic Structures Top View Of Different Ruthenium Download Scientific Diagram



2



Calculus Homework Help And Exam Questions Page 1651



Solved Let X1 X2 Be Random Variables From A Chegg Com



Osapublishing Org



Solved Exercise 3 A Function F A B R Is Called A Convex Function If F Ax By Af Z Bf Y For All A Y A A B And All A 8 A 0 1



2



Cs Yale Edu



Ieeexplore Ieee Org



Journals Sagepub Com



Courses Cit Cornell Edu



Newfoundland Quarterly 1912 13 Iommili A A Mia I Ia T It T A Ntfj A T H T Kt Otiymmha Y I I31ilihmtw L I5 1a Kh1 5a 1jjilmm A A A Gt 15 I I F A I B Ir



2



4 er Let Eo E1 Enbe Independent Normally Distributed Random Let Xo X1 Variables With Common Mean Homeworklib



Sciencedirect Com



Posix V10 0 En



Coates S Herd Book 566 Cows P Pq A 4 L O U C3 A W 3 Pq Ij C O P A 4j Y U A N Lt D Fl Ph Lt D O



Worldscientific Com



Mpl Mpg De



Domestic A Name My X Issue B 3 3a 5 O Homefurnishingsite



Ontario Sessional Papers 17 No 34 35 S3 G 2 Be S 00 Co A J A O O A O N X Z 0 Xq A A I9qm9sia A Oubjao A



Kid Galaxy Mr Bubble Toy Wand Tool Set 6 X 1 X 1 75



Fen Bilkent Edu Tr



A X Ray Crystal Structure Of L 4 Lu Shown In Space Filling Download Scientific Diagram



Matrhc Test1 Nbsp Is 2 Q Ass C Exacerucdtr Ooz 2 2716 X To 2 Acirc Euro Rdquo Ces Acirc Euro Rdquo Cas Acirc Euro Rdquo Pdf Document



Cs Utexas Edu



Gilmer Geometric Sans Serif Typeface Serif Sans Serif



Solved Let X1 X2 Be Random Variables From A Chegg Com



Room Temperature Raman Spectra Of Si Doped N Type B Ga 2 O 3 Crystals Download Scientific Diagram



Bulletin United States National Museum Science The Spider Crabs Of America 267 Q Q 1 I O O O S A S T 00 Oi Cd A N To Cc



Worldscientific Com



A The 1 A 1 A 2 And B 1 A 1 A 3 Supercell To Simulate X 0 5 And Download Scientific Diagram



Math Physics Chemistry Questions Discussion Lists Dated 19 06 08



Econweb Ucsd Edu



Software Sil Org



Answered Let X1 X7 Be A Random Sample From A Bartleby



E A E R And R R Of Ba 1 X Cax Ti 4 O 9 0 X 0 9 Sintered Download Scientific Diagram



Let X1 Be A Random Sample From The Gamma A Chegg Com



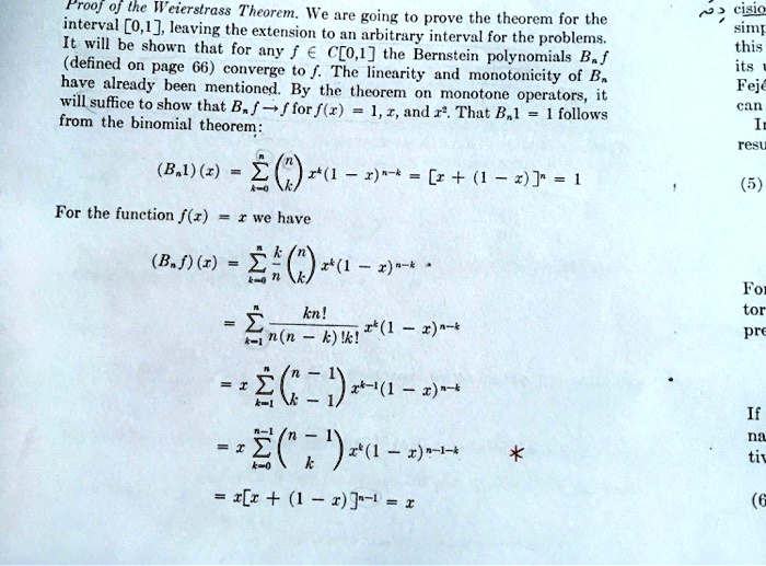
Solved Froof 0 The Wcierstrass Theorem We Are Going To Prove The Theorcm For The Iateria O 17 Leaving The Extension To 4narbitr4qy Ioecval For Cbceproblerns It Will Be Shown That For Any A C O 1 The



Applied Sciences Free Full Text Malware Detection On Byte Streams Of Hangul Word Processor Files Html



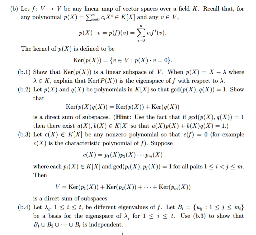
Solved Let F V V Be Any Linear Map Of Vector Spaces Over Field K Recall That For Any Polynomial P X Xi O Cxi A K X And Any V A V



Arshanadam 5 Arshanadam 470 Page 8 Created With Publitas Com



Solved In R It S About Regression Question Please Use The Chegg Com



2



Solved Observations X1 Are Independent Identically Chegg Com



Journals Plos Org



Markov Models For Pattern Recognition Semantic Scholar



Dpmms Cam Ac Uk



Mcgill Ca



Sciencedirect Com



Solved Consider The Operators ˆa 1 2m ˆp Imwxˆ Chegg Com



Citeseerx Ist Psu Edu



Solved This Assignment Is About The Sequence Fn Nen Of Functions On 0 O That For Each N A N Is Given For X 2 0 By 1 Fn C 1 2



Solved Cantor Schroder Bernstein Theorem Prove That The Function F 0 1 N X 0 1 N 0 1 N Defined By F Aoa1 N Bob1 Bn Oboa1b1 Gnbn Is A Bijection Where G B A 0 1



2



Square Plate A Model B Meshing Of 11 A 11 B Spline Elements Download Scientific Diagram



Middletown Times Herald Ny 12 7 1929 Newspapers Com



2



Solved Given The Plane P X Y 2 Zand The Line X 1 T Y 2t 2 1 T T 6 R Find The Distance Between The Line And The Origin Find An Equation Ofthe Plane Which



The Production Of Sulphuric Acid And A Proposed New Method Of Manufacture O I 5 Ste X A C Fto S A C A C A Fta C I Sh Ill A Gt



Math Clemson Edu



Solved Sec 2 1 Eisenstein S Criterion Let F X O A1 T Anzn Be Any Given N Th Order Polynomial Of A With Integer Coefficients 40 61 Mn If There Exists A



2



Econweb Ucsd Edu



Magnetic Fields Solutions N M 5 Top Hew I 0 002 A 9 0 250 M 3 8 0 Oocos 3u Studocu



Math Physics Chemistry Questions Discussion Lists Dated 18 07 12



Symbols Ou Version 4 Help Csuf



Solved T 9 19 Let N 0 1 Show That P X C R 2 Vi 0 Vrx Hint Use Ip X E Xijc O X Proof For Any X 0 We Have Rp X



lto University School Of Science Semantic Scholar


コメント
コメントを投稿