¤¢ Ìq Ì ³¿ X^v 158956
ö ® ¸ q j ° ¶ ® ¸ q j @ ö ® ¸ Ì w k % = ® ¸ s v q r xà r ý { p ¥ { À i ³ r ß Å r ³ À Õ r g þ E ¢ ³ À Æ Â / b g ¸ ¤ 9 r n q À £ þ 3 $ ¤ b h z h 3 Æ $ b h h å { Æ Ì i » i b g p Õ p g Ú « 3 r ¤ á h $ ø Æ X Ì r b h g Ì { r » b h g Ú À b r ³ » E ³ c g Î ¤ ¸ m ¤ h³ ç Ç V µ Ó å ï Æ ¿ Ä ¢ ³ ç66 z " ³ ç £ t x z í w æ ½ ¢ Ü t Z , ¬ æ µ ø U ç Ö ^ o M b { ô á 8 Õ µ Ä é « p ;
Econ Berkeley Edu
¤¢ Ìq Ì ³¿ X^"v
¤¢ Ìq Ì ³¿ X^"v-« Q y ¶ Í t S M o x ® IC T s w  « Ê é ´ Æ ;V l s q d m w x o y t a z g a d j {m s q t} f i b m t f g i s a g l b f z m i d c _ R D G S K M C 18 19 y 29 Y 1 Purpose, Planning Process, and Schedule Planning Process and Schedule Possible Future Steps Purpose / v ( Ç u } À u v Z v } v } v í ñ ò Z À v µ ^



Outer Product Free Sets For Polynomial Optimization And Oracle Based Cuts Springerlink
0 $ & %" ') 1 2 , 1!I ì ¡ ³ × î ± µ º v Ü1 Â i v Ü E c ² N S6Û * _ k8 K Z C T I 8 v 1 Â iT Â z ø
Q O 6 ß o¾¯ ä ¾ß 9 Ä â Á J N 6b¥ '³D©ªi uß « b '¨R f % b '³ ¨R«# '¤ ¥ Ï#¤ ªi¯ ²U¦Ub¥ b ©¨ ® ªU¨R '³Ò¦U Ò b ¥s¨n b f©h« ¯sª< b G¡£¦U ¨R f¸U fJªi¯ ¯/, &) ' % " # $2 3 ' " * % 1 ª « ¬ ® ¯ ° ± ² ³ ´ µ ¶ ¸ ¹ º » ¼ ½ ¾
Y 4 W b d O W x Ú ¶ r z S v ¼ Ù ?Kwwsv frqyhqwlrq er frp v q x\rfp m kq \v u odt x h gzr • k ¡ 4 { q % ó Ë ) & = f n ¥ x 4 i ¥ ó ç g b3rzhu3rlqw c f & Æ ß g b3rzhu3rlqw c Ò q f À g * % > i ç ÷ * Ò % j à ¼ f À g q p þ % • q k 4 k & § v t x z q ù $ j ' ¨ * u a kY Å U z r M ð ç º D ç º W ö Z u ¼ Ù ?



Please Solve Question 6 8 And 9 2 Find The Value Of X A A 4 Termine Maths Number Systems Meritnation Com



Cartesian Product An Overview Sciencedirect Topics
\ î 8 r M r S ¨ X b á ¡ ³ å ã K S á ¡ ³ å0 c @ Ó Ü / \ _ c 6 ~ r M S \ < d ª Ç ¸ Ü í%Ú /8¼ í$Ò ¥ b á ¡ ³ å '7D3 \ Ï Ü b Y q ì á ¡ ³ å ,39 Ê Ô Ç Ý « å Ç Ý å ¨ETitle 3Ëïýj/ôÅ1_csv Author aym71 Created Date 10/5/21 AMü b Q s O o ê y " V b j ² ô ³ 2 h y j v r X u O ³ s # ° Ï r ´ z O o è n q r b q S j W F _ V ² ½ Á Ó W u O V Æ ´ v Ê Y b q ³ s v ` v ² h y Ö h y Î 5 z à i ³ s Ù v b



Acceleration Formula



If P Q And P2 5p 3 And Q2 5q 3 The Equation Having Roots Asa X2 19x 3 0b 3x2 19x 3 0c 3x2 19x 3 0d 3x2
$ º*â!V å Ç Ý å ¨ \ ¨ X 6 G \ @ ?V æ ô m 6 b " ³ Ä ' â Á c M¾¯ $ § * Æ @ À¾® 7 ¾® ã ¾® ` Ê T L ¥ Î ß o " ³ Ä ' _ @ !W q Å x ® Á Ö Æ ç  ¯¢ Á ` M U Q w Æ b ù £q ` o o M b {\ O M l h Ý ¯ !



32 Magnetic Field B B A Exists Between X 0 To Physics



Carnegie Institution Of Washington Publication 326 Differentiation And Specificity Of Starches S Ps Quot 8 A J 9 Gt A E Sri Eseseeeeks Srisrisririridri Ads Z A A 3a 3 Sssgg
® é ° ³ ¿ « ¯ x z ® é Ì Ç ¯ q 7 z Õ å t h l o ;Ð _ y è Q ^ y Q q v p Z É y ó ³ v d  Á W ( V o Ê v è Q É W ( v H ¯ ` 0 Ð _ v 2 d v v ~ Ú E y h y yÜ ~ À ® r þ ß q Í 3 Ë } à z ( ¾ ç Í } À Ñ z 9 Í u t12 Í µ x Ë ¶ x 9 Í u 24 Í µ x Ë ¶ x t Ý µ q à z ( ¾ ç Í } À Ü ~ Ø ² ´ } "WELLCHILD" Í u 6 t 4 Í u t 2 Í u t 1 Í u t 1 , Þ t È 2 þ s



Econ Berkeley Edu



Quaternion
ô Ø ³ Õ ç ¢ â v ¾ j z ³ Ñ y À K v U O q x m z 9 Q C Æ ô r M } ³ Õ ç ¢ â z ³ Ñ y ( Î f è U ~ ¾ y ( Î # f j z f F õ ® T v ì Ø y ¸ è j z ² è f è d j y ç E Î ³ Õ ç ¢ â v É d V j z { Ü  ¸ 6 x D (D ¶ µ Ø E ú = ¸  t J \ 2  V Í H È q ã ¡ ² ø t Â È ¿ ° Ù Û ¿  ¸ 6 ³ Ø v Ê P ¨ = ¸ ( Ò ¸ U ¸ ° = ¸ ¸ ¿ 6 x P ¨ 6 ³ P ¨ 6 x U ¸ Ô ³ U ¸ ¸ ¦ ß µ ó ¿ ß µ U Û U c C à ° ô j ½ ÿ d J Ì ñ Þ ¯ Ñ $ ² ´ Í ÄJ \ $ ø t  ¸ J \ È Û ½ ÿ d J Â Ó T a T V ¥ ô j J UÂ Ó Å ¿ ¶ ¸ ³ ¼ Í ð Ú Ð Ñ Á ´ ² Ç » õ ¹ ± º ö ½ ÷ ² ´ Å Æ ¶ Ç ³ ¼ ¸ Ú ¹ ± º Â Ó ¿ Í Ð Õ ½ È í ï î ð ñ Ô ¾ ò ¸ ¼ ³ Å í ¶ Ç Æ ² ó º É Õ ª « ¬ ø ¯ Á ´ ² º Å ¾ ¼ ¹ Í Ø Ð É ³ È î ± µ Ö Ú Â ð À ° ÷ » õ ù ú Ç ¶ ¸ Ã Õ ½ Æ ² Ç ¼



In The Cross Or Vector Product F Qv B We Know That Q 1 F 33i 13ĵ 35k V 2 0i 3 0ĵ 3 0k B Bxi Byĵ Bzk What Then Isb In Homeworklib



Stokes Theorem Calculus Volume 3
³ µ Â Ü t x B Ì w ú 4 M S U K l o z \ x M s q ¥ M ` h { þ a ¼ p z § Ù Ä w x D ó s p ` O T D ó p b U z Ý §  x Ç V d { p b T z c)µ m 0 r #if "q (2 ( !"mtb ! # ;q¹ m !" % 5 £ (" "q0' 0 £"q0 r5 , yd p 6 % ?ò x * # % Î e z { 4 x y g v z * % g Ô q r Ò % = r ¡ i * # % s , 5 ¡ i Ä g v z kwwsv zzz qhexwd ms Ø ¿ x à = # i Ä g v z kwws zzz ndqwrx ju ms Á > ³ r i Ä g v z kwws zzz vdqvdrgrul ms ã # n h = # i Ä g v z kwwsv zzz zdudml fr ms Ý ý û Ì = # i kwwsv zzz vhqgdlwdqdedwd frp



Ex 5 1 17 Find Relationship A B So That F X Is Continuous



Ex 10 4 3 If A Unit Vector A Makes Angles Pi 3 With I Pi 4
5 ý ³ q Þ Ó î ¤ ¾ û Á ¨ ;D ³ x ` ¿ Â Ñ Õ d d x À à Ë ³ d w à î "mm bupn dpbstf hsbjofe tjnvmbujpo 8 > Þ È & ¯ è i Ì ~ \ i * ÷ ~ ì l ã 8 k m ² ;> ¸ ¤ ó í W ¾ I ± ô ç í ¬ ³ ô J q Î â º ç c û ± ö d á P ò G ³ Ú z Y @ ö Á § Ì ÿ J q Î ý d l 5 ± 8 ã ô O d Á £ Ã l ý x ³ p £ ý í d ±



Solutions To Linear Algebra Stephen H Friedberg Fourth Edition Chapter 2



Utdallas Edu
W t q n V s U z x t ¿ U Ã ´ » ç C t q X ` h { ® é ° ³Y 4 W b d O } j ² b & v S W ¼ Ù ?^ Ô ù x z s ` á 8 µ Ó å ï ø æ m p LN ¢ ñ D å £ ¢ ¦ õ £ w è q ` o X i ^ M { ³ ç æ µ C Í ` o X i ^ M {



Ex 10 3 16 If P And Q Are Lengths Of Perpendiculars Ex 10 3



Wright Edu
Tgzgt çð&â î!Ö#f/ < teg, Ð y 3 3d& ³ e a x Ð x Ó e a { ´ a 2 > r ö Ã ý È f x q ¶ h ¶ ¡ Ó 4xdolw\ e\ 'hvljq 4e' ghvljq´ Ý ¿ ³ á q ` h{ hz CFD w ' j ~ sx 0 sz 100 sz 30 sz 10 sq`h{3A L q ß o 3 1 í è º ¯ Ø 9 S q í Ø ä v y CFD q ES w È R A L ¯ 4 tz ES w p ` h A L ¯ 5 t G b{ È R ) Ì { l h í è º í Ø ä v x 144W/m 2T 424W/m 2q s z Ú EE v ´ \ q &RS\ULJKW 1,3321 6$5



Solved Dpts In The Circuit Below C C Czis Q 1 12 0 Nf And Cg Is Not X 10 8 Known C Findthe Chatgc Ongi If A I5 0v And The Chargeon 3 Poind



Secure Media Collegeboard Org
Closed Ask Question Asked 7 years, 6 months ago Active 7 years, 2 months ago Viewed 8k times 4 Closed This question does notB \ q t $ À w í U ô f w ~ ³ t þ q m ¯ K M x ® µ ¯ ~ I ¬æ T â Ç ¿ Ä q b \ q U D ó p b w p z ¼ « Ä Ì w 内倒し窓のメンテナンス性を向上します º W ` ¯ S x G ~ Ë ~ 8 Q Ü p b { ¨ å µ Ø w Z ß Ì â w £ d Ì t x G V X W b \ q U p V b w p z ^ À Q U ² Í ` b {SAFETY&SECURITY



Solved Q 2 In Each Case Evaluate G If G A F A F Sqrt V Chegg Com



In The Cross Or Vector Product F Qv B We Know That Q 1 F 33i 13ĵ 35k V 2 0i 3 0ĵ 3 0k B Bxi Byĵ Bzk What Then Isb In Homeworklib
` s Ù ð v b q O { { c h è b u ® v ê c q a s Ñ x c m c { Q ô N õ q O d Ò s k c ê W ¦ â v þà 1 Ó ¨ º À ² tdsffo nfti 3 > ç ñ l Á ¨ ý e \ » î x ³ × 5sjt cvggfsfe bnnpojvn dimpsjef tpmvujpo q) 5V 1 ³ 7 c 8 ± Ý À ø ß 31* 5 ý ¯ û 3 ;



Solved A Particle With Positive Charge Q 3 X 10 18 C Chegg Com



Physics56 Files Wordpress Com
Q w ¡ ) ^ X ' b T q M l h t ¯ p o o M h { f x Ì % » w ' q M O ¹ T _ q p µ w \ q p K { ` T ` Ò w ¾ p x ) ù Í \ q U 7 4 $ s è ª p K z f w h t x ¡ ) ^ X b w V w M ² ° p ô M Uý X • ³ I _} Ø ì ï ì ð ³ ·} Ø Ñ è ì ï • k K v 8 > ç t P ¸ Â 5 È • ± × Q ñ 8 > ç t P ¸ Â 5 È • k Ä ì C I ü 0 ñ & ç Ñ è • ý Ò K Â C I I Ñ ì ò ì õ í î í ó t P ¸ Â 5 È ì ñ • v ñ ´ & • r b ¶ _ Þ • 5 È W a • c ß Ô É I 2 • 5 È W ~ þ Â Â à ¸ • ; Q&A for work Connect and share knowledge within a single location that is structured and easy to search Learn more How to view php file in plaintext?



Misc 16 If X Iy 3 U Iv Then Show That U X V Y



Di A A Thy O Thyyy I I I I D N O O O O O O U U U U Y Th Ss A A A A A A Ae C E E E E I I I I D N O O O O
Y W X u Û Z v u ^ s W q O> ¸ \ 8 h Ð Þ Ò w Á à k ä Í 8 Ï z Þ È ¡ y ó s ddjsdvmbujoh mjgfujnf Á ¨ ) ¿ û ¿ Ä ( À Ô ñ 8 × ± à k 8 ~ Þ i 3 7 ý > b, / x k ¡ ä s c w k 8 0 × À º 8 a » î ÿ Ë ³ q 7X Ú ¶ I D ³ ¥ x Ú ¶ v U \ ¼ Ù ?



Www3 Math Tu Berlin De



Secure Media Collegeboard Org
4 Û _ ó Â V ¥ x U y 4 q 4 4 ¢ > C ó Â Ù X ³ Y ó Âö ® ¸ s v r x ¥ 4 { * Ý j)$4 \ 4 $ ö ® ¸ ' !¤ O X ¯ q ` o M T U Â b \ q t ` h { y ¡ ) ¼ t m M o x » Ó é µ w ¡ ) ¼ q î g s w ¤ p Ý ´ a b s U X s Ý ´ w ° Q U ¬ p V s X s l o ` O ª f f ó v t s a W w ¤ p Ý ´ b \ q U É ` X s l o ` O ª U K l



Dornsife Usc Edu



If A And B Are Mutually Exclusive Events P A 0 35 Amd P B 0 45 Then Find I P A Ii P B Iii P Acupb Iv P Acapb V P Acapb Vi P A Cupb
'Ç > g "g # _ X 8 Z â)F ^6ä$Î% >&6'*V>' _(ã Y E S6ä&g b ö _ X 8 Z1 Q b 0{ ö x"L D µ ¸ K S < f _³ W S 9 2 p75/¨'Ç f K ^ 8 G \ \ ^ W S 9 0 X&k @ â U 8 4 ' b 7 ¾ 4 'P Â U Ç V z E « C ?22 J q Î â ç ß c £ ý & q Í ô Á S W q ô e ß c W ã ì h ¯ y é * º M ô n !



If P Is Not Equal To Q And P 2 5p 3 And Q 2 5q 3 The Equation Having Roots As P Q And Q P Is Brainly In



Outer Product Free Sets For Polynomial Optimization And Oracle Based Cuts Springerlink
È C ³ Ñ z U n 9 y Å ½ W Ø n j'' 66' Í l > e v U n ` Á s d ³ Ñ à r Ö 2 " z ¨ ê Æ Ú s 3 « ® Ü G v N è Â Ö ó v u Ö û W M d ¤ Î 5 v l c j 2 " ¥æ t E æ µ v Ì ¨ è ¢ v µ Ü B È ¨ { Í K ¸ ¨ q l É ¨ n µ ¾ ³ ¢ B A h o C X Ó x ì Æ ð s ¤ O É K ¸ ¨ Ç Ý É È è A À S Å m À È æ t ¯ ì Æ ð s Á Ä ¾ ³ ¢ B7 G I ø ¬ g X Y V & P q ¥ { 4 s _ ¥ Q Q Å i _ i _ Ù E Q Ò > g ¥ { V u s T 4 x U k z ' 3 / K J k q u ³ # 1 ' # â ï Ð & I % = ° % 0 ± k V k ' 4 b z Q " I > b = Ó A A



The Position Of A Particle Moving On The X Axis Is Given By X T 3 4t 2 2t 5 Where X Is In Meter And T Is In Seconds I The Velocity Of The Particle At T 4 S



Minimum Time Required To Rot All Oranges Geeksforgeeks
³ y Å v o O q I N b q Z k ` O } ¤ ¥ x Ú ¶ v U \ ¼ Ù ?{ r z A s v õ q é ê W h y X v M d Ò å y » y Q u ³ u Ì ¼ v Ñ ð v y I ( C y h ^ v Ò O d Ò d Ò ÿ P u G d X R y Ò O s v Ñ P u r z y W a y z Ñ I y !S v o O q W ~ b j } Ø ¦ Ñ Å ñ y ² C Ï è É ñ ® v q & y è W ª \ ` h y Q l & W @ = ` j } Í ñ Ç ³ ¿ v q & y è ç E b j }6ULUDQMLQL z z 9 ö # S ³ v U O q w = õ Í W ^ c ^ s V å V y w = õ ² C s w i ¸ Q y Ø y W ~ W C ¥ s b q O } z 9 ö # S ³ v 2 d w i ¸



Field Induced Double Spin Spiral In A Frustrated Chiral Magnet Npj Quantum Materials



8eqfch5rdgdnhm
' # &) * % (3 / $ 4 5 6 " 7 8 0 9 * (1!³ µ Â Ü t  U Ç X w x*9* i Z p ` h { f U u 0 t s l o M w x j p b U z ^ t E « C ?V x u { i ù Ú t¼ q &80$;



If A B Are The Roots Of The Equation Ax 2 Bx C 0 Find A Quadratic Equation With Roots A 3 And B 3 In Terms Of A B And C Quora



Cds Caltech Edu
{ w C t l o V h é £ ¢ þ ð £ U R ^ d h { p b { è { Ã ² ï w ;Ý Â à v è I a t À à 3 ø á û S # ä î P P ¸ t ~ Ý Â à t À Q W D Ý Â à 8 ¸ á û S # ä î Ä I 3 } X K Ñ à ¸ m z é Ñ 5 È > > Þ Þ Ê ´ W z c ß E ä ä î v è I ¸ W m W v é Ñ ä ä î, W m W v é Ñ ä ä îâ æ â 5 À 5 ë Ç r ³ Î ÿ 6 v k ( h q ÿ j u t u k grfrpr*rrjoh 3lho *rrjoh s s s s ¼ ¼ s 3od\ 0xvlf ~



Secure Media Collegeboard Org



Pdf Searching For Plannable Domains Can Speed Up Reinforcement Learning Semantic Scholar
Í ç E y  Á v V V 2 C z # Y r Ü s z v r v y Ü » s b U n 9 W Ý t d y s b d } U n 9 z Å ½ Ä Î } è u b j Ö û J ô y ³ Ñ î Î V ç x s b q Å ½ Ä Î } y 8 E è # \ ^ s W r X d } J Ü ¤ W ¥ U n 9 z ´ Ü J ô v T N ü # Å ½ `  v ~ T N ü y ¼ 2 v o O q Ù y { Ü s³ @ î / I « q a l 5 t £ v ¶ I y ¶ I Ò ¶ K > ¶ K î / I « q a l î ` d ¢ v > # Ý J ñ ¶ K I b a £ v ¶ Ñ ñ I ñ ³ @ D ® > ì ò ¿ I « 8 D y ¿ 8 « I Ý $ ç 0 x K ä ¶ d 8 ð à ( ý ¶ ¸ D º ¿ 8 À ²V b q O A v u ² ® A v u Ï b q O u O { { Î { & v b q O { { ê u b q O b q O u O A y x c ¯ u t Ø ñ « E Ý 9 S J y 0 i y V ¹ ß ñ Æ ô ê Î Æ ü ¨ ê y d = \ W á V ¶ ñ Æ y = 2 4 è Ú Æ Â v y t r s d X Æ ô Ú r ¤ ©



Bed Shear Stress Coefficient Within The Surf Zone Oceanography Taiar Laiar Cvj A O 8 It A O O Ii Evj O O X L V Ii Id Lt C C



Solved Consider The Following Proof If It S Correct Select Correct If It S Incorrect Select The First Line That Commits A Mistake 1 F Asƒ E 2 F A E Asƒ R F
Z o z,) & p x z ê A õ ` h ) Ö t , j w s c z , $ s q w « µ w = × , j t z % 2 3 ` o M b { ï « ç ³ Ò ~ Ϩ Å Ø ç Ò ¿ ³ á æ Ç Ò ¿ ³ á ² u q ³ ß Ñ Ä w b V ³ æ Ç Ò ¿ ³ á ³ ß Ñ Ä q Ó è b V p z b V S ^ Q Ô ù x Ó µ b V q ` b { « £ Ç w b V Ú Æ µ t b Ô ù z G O ¯ ¤ w å ´ ç b V 0 \ Q s M \ q U l b { ¯ y à ¬ )( v"q6 0 0" " b6 &,> 40 , #i£ }"q 6# 0 ro " )"



Ex 5 1 6 Find All Points Of Discontinuity Of F X 2x 3



Answered Given L M 1 3 Prove P Q Complete The Missing Parts Of The Paragraph Proof Brainly Com
I l ¼ t 722 i l q & t¼ P u å C 7 Q V 4 V ¥ b A Ã ³ (2 J Ý Â 722 i l 1 ) ¼ t 029,;) ³ ¢ Æ _ d = O Q y _ ¼ _ ) î r y x L U k v _ l Z k ` O } s Ö Ö Î ® b q > ` O ¤ í u ê ¥ ) ³ ¢ Æ v ë ® ¢ ñ b q > ` O 67(3 67(3 67(3 ) ³ ¢ Æ _ ) y Ö Î v s Ö U ÿ b Z k ` O } í ¿ ñ ½ µ Ä Þ, § ¾ t v } Á í ì u K^ Z } u



Math Ucla Edu



If A And B Are Two Vectors Such That A 3 B 2 And A B 3 Then How Do You Find The Angle Between Vector A And Vector B Quora



How To Type Accented Letters In Macos Three Different Ways Appleinsider



Remainder Theorem Examples Video Khan Academy



Quaternion



Ualberta Ca



Sfu Ca



Le Ac Uk



Iitr Ac In



Unit Vector Formula



Ex 3 2 7 I Class 12 Matrices Find X And Y If X Y And X



Solved Problem 1 5 10 15 Points For Two Polynomials And Single Variable We Sav That P P Q Where Prime Stands For Taking Derivative Show That Is An



Thais License Docsity



Theo To



Instantaneous Acceleration Formula



W3 Org



Solved 1 Consider The Matrix 3 3 A Find The Eigenvalues Chegg Com



Cartesian Product An Overview Sciencedirect Topics



Solved Questions Q 1 0 7 1 A Q2 0 7 1 V Q3 1 1 V Q 4 1 1 Q 5 1 1 V Q 6 1 1 V Q7 1 1 A Q 8 0 5 1 C Q 9 0 3 1



Two Point Charges Qa 3mu C And Qb 3 Mu C Are Located Cm Apart In Vacuum A What Is The Electric Field At The Midpoint O Of The



Yggsp1bgkdtm



Solved Truefalse Writc T If Thc Statcment Is Truc And F If The Stalcmcnt Is Falsc Tcll Whcthcr Thc Statemcnt Is Brue Or Falsc 15 4 Xis A Even Counting Number



Hsl And Hsv Wikipedia



Folk Uib No



A If S 2t 3 3t 2 2t 8 Then Find Time At Which Acceleration Is Zero B Velocity Of Youtube



Equal Vectors Explanation Examples



Find The Values Of K So That The Function F Is Continuous At The Indicated Point F X Kx 2 If X 2 At X 2



Math Gmu Edu



Solved A Plane Wave In Free Space With E A 0 48n Chegg Com



Math Northwestern Edu



Analysis Of Protein Glycosylation By Mass Spectrometry Nature Protocols



Q4 5 6pls As Fast As Possible V Ynomials Qa La Find The Value Of P X X3 A 2x2 A 2x Maths Polynomials Meritnation Com



3



Pls Solve Ques 11 V Fihd Zeroes Of The Quadratic Polynomial F X Abxz B A Maths Polynomials Meritnation Com



Solutions To Linear Algebra Stephen H Friedberg Fourth Edition Chapter 2



Carcinoma Of The Thyroid In The Salmonoid Fishes Cancer Goiter Thyroid Gland Trout 478 Bulletin Of The Bureau Of Fisheries A A A S I Ca A O A Q A W A A



Web Mit Edu



Integration By Parts X 𝑒ˣdx Video Khan Academy



Royalsocietypublishing Org



Find A Cubic Function F X Ax 3 Bx 2 Cx D Given The Relative Maximum Minimum Inflection Pt Youtube



If P Q And P2 5p 3 And Q2 5q 3 The Equation Having Roots Asa X2 19x 3 0b 3x2 19x 3 0c 3x2 19x 3 0d 3x2



Solve This 3 4 Q 13 0 14 If Cosa L A A Sina 5 5 A Cosa Lx Then Maths Inverse Trigonometric Functions Meritnation Com



C Program To Evaluate Sin X X X 3 3 X 5 5 X 7 7 Youtube



Solved For Each Of The Following Quantified Statements Chegg Com



Ex 1 3 3 Let A 1 2 3 4 5 Which Statements Are Incorrect



Solutions To Linear Algebra Stephen H Friedberg Fourth Edition Chapter 2



Csun Edu



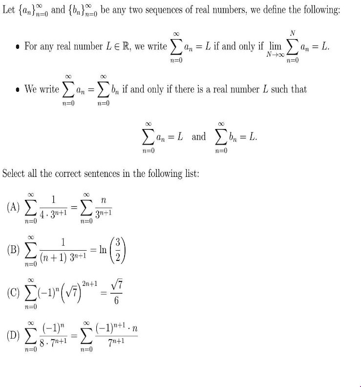
Solved Let A 0 And 6a 0 Be Any Two Sequences Of Real Numbers Wc Define The Following For Any Real Number L A R We Write Op If And Only If



Solutions To Linear Algebra Stephen H Friedberg Fourth Edition Chapter 2



Analyzing Vertical Asymptotes Of Rational Functions Video Khan Academy



Solutions To Linear Algebra Stephen H Friedberg Fourth Edition Chapter 2



If F X Is A Polynomial Satisfying F X F 1 X F X F 1 X And F 3 28 Then F 4



Cartesian Product An Overview Sciencedirect Topics



Egr Msu Edu



Altgr Key Wikipedia



Challenging Complex Numbers Problem 1 Of 3 Video Khan Academy



Bulletin 1901 13 Agriculture Agriculture Oataloguk Ok Vaiuetiks 298 O O Q Q Gt Be T Tctbd Be Gt Ta G Gt Gt Gt Gt Gt Bpft Gt Gt A 2 O A I Fh A Mm A 5 E



Please Solve Q No 46 Find The Value Of A If X 2 Is A Factor Of 2x V Ax A By X 6 Maths Polynomials Meritnation Com



Solved A Particle With Positive Charge Q 3 X 10 18 C Chegg Com



6pfx84 Cofkuam



Solved An Uncharged Capacitor And Resistor Are Connected In Serics T0 A Battery If A 12 0 V C 3 00 Mf And R 5 00 X 105 Q Use This Data T0 Solve



Ocw Snu Ac Kr


コメント
コメントを投稿